【金工专题】基于Nelson-Siegel模型的10-30Y国债期货套利策略研究
发布时间:2024-9-25 16:53阅读:1044
相比于现券交易,国债期货在资金占用和流行性方面具有一定优势,这些优势使其成为管理利率风险和寻求套利机会的有效工具。国债期货市场通常具有比现券市场更高的流动性,使得投资者可以更快地进出头寸,降低了交易成本和时间成本,在最近市场风险偏好较低的背景下,国债期货的波动性有所增加,尤其是长期国债期货的波动更为显著,30年期与10年期国债期货的利差变化幅度逐渐增大,为国债跨品种套利创造了有利条件。然而,国债期货的利差变化频繁,这种波动性对套利策略构成了挑战。因此,准确预测利差的变动方向变得尤为关键,它直接关系到套利策略的制定和执行,有效的利差择时能力是实现成功套利的重要前提。
基于多方面的分析,我们尝试构建30年与10年期国债的期限套利策略。具体地,文章将经典Nelson–Siegel三因子与宏观因子相结合对国债期限利差进行预测,主要思路为:首先,我们选取国债即期收益率数据,采用Nelson-Siegel三因子模型拟合债券收益率曲线,运用VAR方法对未来收益率曲线进行滚动预测,根据债券收益率的预测变动方向构建国债NS套利策略,其中10年与30年期国债根据固定2.8:1的比率构建久期中性组合。之后,我们尝试引入宏观因素,使用机器学习与回归模型进行特征筛选并跟踪预测宏观因子的边际变化。最后,我们将NS模型与宏观因素相结合,参考宏观因子变动对NS套利策略信号进行修正,搭建基于NS与宏观因子的国债期限套利策略。
策略表现方面,基于动态预测的NS套利策略在样本内外的年化收益率分别为10.31%与13.02%,夏普比率分别为1.53与3.47。经宏观因子调整后的NS宏观套利策略在样本内外年化收益率分别为12.27%与13.32%,策略夏普比分别为1.77与3.56,组合在收益与风险收益表现方面均有所提升,策略年化开仓次数约55次,开仓平均持仓天数在1-2天左右。
1 利率期限结构与收益率曲线形态
国债期限策略的核心是对利率期限结构进行分析与预测,利率期限结构反应了不同期限资金的市场成本,它可以通过收益率曲线来表示。收益率曲线边际走平时反应了长短利差的收窄,可以通过买长债卖短债进行套利,而当曲线边际走陡则预示着利差扩大,可以构建买短债卖长债的套利策略。
收益率曲线通常表现为以下几种形态,1)正向的收益率曲线,收益率曲线呈上凸形态居多,曲线整体斜率为正,反应出投资者对于长期债券要求的风险补偿。2)反向的收益率曲线,该形态通常出现在市场对未来经济预期较为悲观时,由于大量资金会倾向于配置长债资产避险,相应推高长债价格使得收益率被压低,使得曲线斜率走平甚至达到负斜率状态。3)水平的收益率曲线,这类形态一般在过渡阶段出现,当短端收益率快速抬升(熊平)或长期收益率快速下降(牛平)时曲线会短期接近水平形态。4)驼峰的收益率曲线,这里驼峰指的是中间期限债券的收益率高于两边期限收益率,使得曲线出现局部极值,这类情况较少见,有可能是债券流动性溢价所致。
2 收益率曲线的拟合方法
历史研究中尝试采用了多种方法拟合收益率曲线,其中包括:1)非参数拟合:包括区间差值,样条拟合平滑等;2)参数模型拟合:主要包括Nelson-Siegel(NS)模型及其扩展形式Nelson-Siegel-Svensson(SV)模型等,SV模型是Svensson(1994)在NS模型的基础上加入了新的参数,使模型对于更为复杂利率期限结构也能实现较优拟合。3)经验法:基于历史经验进行估计推断;4)机器学习法:包括神经网络,随机森林等模型算法。
本文中我们选择采用Nelson-Siegel(NS)模型来拟合收益率曲线,主要源于以下几点考量:1)模型复杂性:NS模型可以通过较少的参数来刻画收益率曲线的形态,相比于SV模型其参数稳定性更优。2)灵活度:NS模型可以刻画多种利率期限结构,模型具有较强适应性和灵活度。3)经济含义:NS模型中参数具有明确的经济学含义,模型具有较高解释度。
2.1Nelson-Siegel模型简介
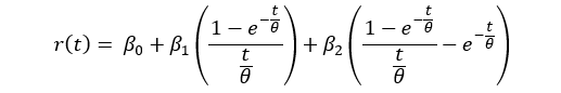
NS模型为Nelson和Siegel在1987年提出的参数模型,其通过远期瞬时利率推导出即期利率函数,实现对收益率曲线的静态建模,下式为NS模型的计算表达式,主要参数共有四个,其中Beta0定义为水平因子,Beta1为斜率因子,Beta2为曲度因子,Theta用于控制参数影响的衰减速度,决定曲线的斜率与曲度随时间变化的快慢,Theta越大则曲度变化速度越慢,可以更好的拟合长期利率走势。
在NS模型中,其中(Beta0,Beta1,Beta2),为影响债券收益率的三个隐含因子,因子载荷为
其中,当期限趋近于无穷时,1)Beta0的因子载荷恒定为1,说明水平因子对收益率的影响不会随时间衰减,同时其对于不同期限的影响程度相同,可视为长期影响因子;2)Beta1斜率因子载荷从1逐渐衰减至0,说明其短期影响强于长期,可视为短期影响因子;3)Beta2曲率因子载荷先升后降,其对于中间期限收益率影响高于长期与短期,可视为中期影响因子。
3 基于NS模型的国债跨期套利策略
该部分我们基于NS模型构建10年与30年期国债套利策略,首先我们使用1Y、2Y、3Y、5Y、7Y、10Y、15Y、20Y、30Y共9个期限的中债国债即期收益率数据通过NS模型拟合构造收益率曲线,其次我们使用时间序列模型构建动态NS模型,滚动预测10Y与30Y债券收益率的变化方向,之后基于预测方向生成策略信号。数据方面原始收益率数据、模型生成信号频率均为日度,样本期间为2018年初至2024年9月中旬,2023年7月前为样本内,之后为样本外数据。
上图表为NS曲线拟合结果,整体来看采用NS方法可以较好的对各期限收益率进行拟合,其中10年期债券的拟合误差显著大于其余期限,通过分析我们发现2023年前NS拟合收益率持续略高于真实收益率,相应使得期间拟合误差偏大,而在2023年后截距项逐渐缩窄,误差显著降低,文章推测这有可能是因为期间10年期国债存在流动性溢价所致。
在构建动态NS模型前,我们需要对参数进行平稳性检验,ADF单位根检验结果显示斜率与曲率因子序列平稳,水平因子中存在线性趋势项,经差分处理后序数据平稳。为了解因子间是否存在一定相关关系,文章采用格兰杰因果检验对因子滞后三阶数据进行分析,检验结果显示三因子之间存在一定的格兰杰因果关系,其中水平与曲率因子之间在滞后一阶下存在显著因果关系。
基于以上分析结果,我们尝试采用向量自回归(VAR)模型对NS模型三因子进行滚动预测,参考AIC、BIC滞后阶数为1阶,构建VAR(1)模型,期间我们发现若将水平因子进行差分后再建模会丢失很多原始信息,因此该部分我们采用水平因子原始数据进行建模,同时为测试模型估计参数是否稳定,对模型残差项进行了稳定性检验,结果显示参数平稳,模型估计结果稳定。
从模型预测误差与拟合优度来看,NS-VAR模型对10年与30年期收益率均有一定预测能力,相应我们参考两个期限预测利差的变动方向构建模型信号。具体来说,当模型预测下一期30期收益率上升10年期下降时,发出看多利差的信号,当预测30年期收益率走低10年期上升时发出看空信号,其余时期保持中性信号。此外,由于30年期国债期货上市时间较短,可回测数据量不足,我们使用国债即期收益率模拟债券价格构建策略,参考10年期与30年期国债期货最便宜可交割券的久期选择2.8:1比率构建久期中性组合,当模型发出看多30-10Y利差的信号时做多2.8个单位的10年期国债,做空1个单位的30年期国债,当发出看空利差的信号时则进行相反操作。
上图表中为2018年以来的模型回测结果,策略在样本内外的年化收益率分别为9.34%与11.41%,夏普比率分别为1.38与2.97。样本内最大回撤发生在2018年年末,回撤幅度为8.79%,样本外最大回撤发生在2023年9月,回撤幅度为1.89%。
4 基于NS模型与宏观因子的国债跨期套利策略
考虑到长期债券收益率更容易受到经济基本面与货币政策的影响,我们尝试在模型中加入宏观变量来优化策略表现。由于大部分宏观数据的披露频率为月度及以上且滞后时间较长,为了能够更及时的捕捉到宏观环境变动对债券收益率的影响,在该部分本文选择采用更新频率在周度及以上的高频宏观数据进行跟踪分析。
在上一部分中文章通过NS模型对拟合债券收益率曲线,以10年期国债收益率为例,我们发现通过NS拟合得到的收益率与真实利率间存在一定的偏离,即模型残差项,为检验残差项中是否包含未反映到NS模型中的剩余有效信息,我们对残差项序列进行了白噪声检验,结果显示残差项为非随机游走序列,该结果侧面反应了残差项中可能存在影响债券收益率的隐含信息,经分析我们推测这可能与宏观经济环境的有关。我们通过主成分分析提取出期限在10年以上债券收益率的残差项,选择前两个主成分进行分析(第一、第二主成分累计解释度分别为81%、94%),通过计算我们发现主成分与宏观经济数据存在一定相关性。从样本内拟合结果我们可以发现第一主成分与花旗集团发布的经济意外指数、美元指数具有较高相关性,第二主成分与七天逆回购利率较为相关,这在一定程度说明经济环境、货币政策等宏观因素会对收益率曲线产生影响。
基于上述分析结果,我们在模型中加入宏观数据对NS模型的残差项进行滚动预测。具体的,本文先使用随机森林算法进行特征筛选,保留近期影响显著的宏观变量放入模型中,之后通过岭回归对未来残差走势进行预测。
上图表为模型对30Y-10Y国债利差走势的预测结果,加入宏观因素的NS预测模型误差显著低于原始NS模型,说明宏观因素的变动会对利差走势产生一定影响。因此,接下来文章尝试对就宏观因子变动对利差走势影响做进一步分析,结果发现当模型中预测的宏观因子显著走强时,利差未来利差趋于收窄的概率较大,反之则未来利差扩大的概率较大。同时在宏观因子变化显著的区间内,NS模型的预测胜率会略低于其余时期。
参考以上分析结果我们尝试根据宏观因子的预期变动调整原始NS策略信号。当模型预测下期宏观因子显著提高(变动幅度处于近一月内95%分位以上水平时),若NS原始信号为看多利差则转为看空,当模型预测宏观因子显著降低(变动幅度处于变动幅度处于近一月内5%分位以下水平时),若NS原始信号为看空利差则转为看多。
回测结果显示经宏观因子调整后的策略再风险收益表现上有所提升,样本内、外期间年化收益率分别为12.27%与13.32%,夏普比率为1.77与3.45,相比较原NS模型样本内最大会回撤减少1.11%,策略开仓方面平均年化开仓次数在55次左右,样本内多头与空头平均持仓约1.8天,样本外空头平均持仓时间略长于多头。
温馨提示:投资有风险,选择需谨慎。
-
养虾理财用的金融Skill是什么?国泰海通灵犀Skills实测,新手也能装
2026-05-09 13:41
-
豆包开启付费!AI行业迎来拐点,普通投资者该怎么布局?
2026-05-09 13:41
-
2026国金证券新人开户能够享受哪些福利?(含6888元品质礼包)
2026-05-09 13:41



+微信
分享该文章
