【量化金工】期货市场舆情分析与另类因子周报20240927
发布时间:2024-9-30 09:03阅读:252
当前市场的传统因子如基于成交量、价格数据的量价因子和基于经济数据的基本面因子开始面临失效风险。在策略拥挤度偏高、大数据被过度挖掘的背景下,另类因子正在成为描述价格预期的新质重要助力。
另类数据有很多类别,我们聚焦于应用范围较广的舆情因子,通过对新闻、媒体和研报等文本信息进行提炼、加工和分析,不仅可以刻画当前市场热度和情绪,也可以定量把握板块和品种的强弱。
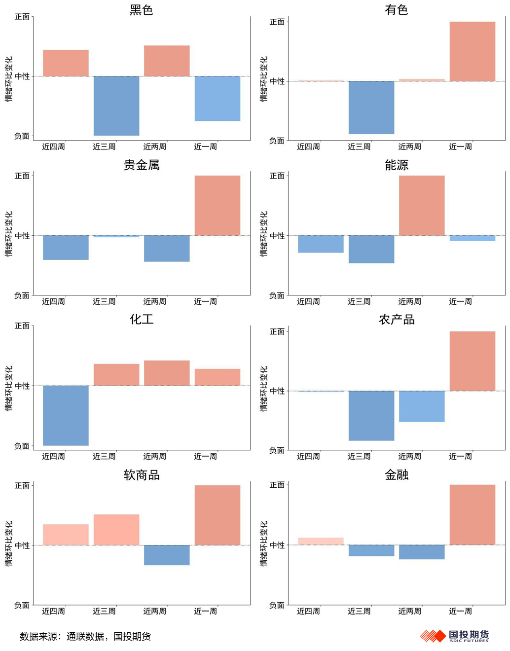
【期货市场情感强度】
情感强度=Σ新闻/报告与期货品种的相关程度×新闻/报告情感打分。
注:内圈-大类板块情感强度,外圈-品种情感强度
【高频新闻关键词】
我们统计了近一周市场中热度较高的新闻/报告中与期货市场存在相关度较高的关键词,其中气泡大小反应关键词出现频率,气泡颜色代表关键词对应新闻/报告的情感分类,蓝色为负面,红色为正面。
注::报告数据截至2024年9月27日。
国投期货
高级分析师王锴期货投资咨询证号:Z0016943
分析师张婧婕期货从业资格号:F03116832
温馨提示:投资有风险,选择需谨慎。
-
养虾理财用的金融Skill是什么?国泰海通灵犀Skills实测,新手也能装
2026-05-09 13:41
-
豆包开启付费!AI行业迎来拐点,普通投资者该怎么布局?
2026-05-09 13:41
-
2026国金证券新人开户能够享受哪些福利?(含6888元品质礼包)
2026-05-09 13:41



+微信
分享该文章
