浅谈期指和权益基金风格相关性
发布时间:2024-5-6 07:52阅读:339
沪港通开放后,外资不断涌入,权益市场环境发生结构性变化,风格也逐渐出现轮动特征,对组合收益表现产生了重要影响。此外,随着A股市场效率的不断提升,宽基指数内部单纯依靠Alpha因子已经很难获得显著的超额收益,市场开始把视野转向风格配置。2014年之前,市场结构多向单边倾斜,风格中枢长期偏向小市值,当时量化类产品也多选择主动暴露小市值风格,较少关注风格中性化或者风格择时。然而,在2014年年底的券商行情中,市场风格发生变化,主板大幅走强,众多产品短期大幅回撤。虽然目前已有不少理论来判断未来较长时间内的风格变化,但预测区间的精度值得商榷。假设投资者在2016年三季度建仓,并预判后市小盘股将维持强势,那么会错过2016年年末开始的大盘股行情,也会面临为期3年的小盘股熊市行情。可见,市场风格的变化对资产组合的影响并不局限于短期。
图为宽基指数走势
在股指期货中,投资者通常将已经上市的上证50、沪深300、中证500和中证1000股指期货按照成分股占比,归类为大盘/小盘或成长/价值。笔者希望通过对基金风格的研究,为股指期货的相对强弱判断和品种选择提供更多参考依据。基金投资风格很大程度上反映了管理人的价值观和认知理念。目前市场主要有PBSA(Portfolio Based Style Analysis)与RBSA(Return Based Style Analysis)两种基金分析方法。其中,PBSA方法主要基于基金的持仓信息,即持有的股票或其他资产的风格属性来反映基金的主要风格;RBSA方法是通过计量手段,将基金的历史收益数据与基准指数进行回归分析,根据模型的系数与拟合优度进行匹配。
图为大盘、小盘风格走势
图为成长和价值风格走势
价值和成长风格市场关注度较高,同时与股指期货中的IM和IH在逻辑上也有一定对应关系,故笔者主要聚焦这两个板块。在开展风格轮动研究之前,需要定义这两个风格本身。
风格一般指一类股票所具有的共同特征,而该特征驱动此类股票产生的收益率总是保持较高的相关性。在市场通常的认知中,成长风格的股票往往具有较强的增长性,主要表现为主营业务收入、净利润等基本面指标快速增长。这类股票未来的发展空间大,市场常常赋予其高估值。与成长对应的价值风格,主要指增长稳定的一类股票,其确定性强、波动率低,具有较高的安全边际,在熊市中表现出较好的防御性。这类股票受限于自身的价值属性,一般估值不高。
图为成长风格走势
图为价值风格走势
指数的编制方法很多,除了运用较为广泛的等权重,还有市值加权、股息率加权、波动率加权等,尽管侧重点不同,但都体现了某一类股票的整体表现。随着A股上市公司数量的增多,以及注册制的全面开放,指数成分的变化所产生的滞后效应将导致跟踪误差,故指数的编制方法值得多角度考量和评价。
指数成分的筛选和分类
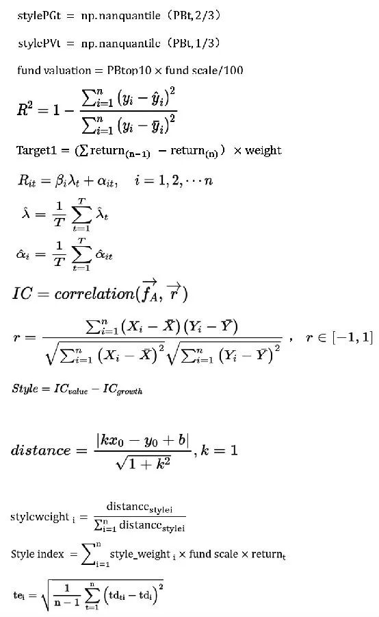
本文以风格指数为基准,通过拆解编制方法进行指数复制和跟踪,便于对不同投资组合进行更准确分析。笔者主要通过两个步骤提取私募基金管理人的风格特征:第一步构建基金管理人指数。计算同一管理人下股票多头类产品收益的均值,这代表管理人整体的收益情况。同时,为提高该指数的代表性,先从市场中筛选成立时间大于5年、历史管理产品中股票多头类产品占比大于80%的基金管理人。第二步,基于RBSA方法将基金管理人指数与市场风格指数进行匹配,赋予管理人不同的风格标签。具体匹配方法为:计算基金管理人指数收益率与风格指数收益率的IC值,根据IC值的排名次序将基金管理人分类到相关性最高的风格属性下。
传统的基金风格划分是基于基金中主要持仓股票的估值以及规模。从传统基金风格划分体系出发,使用常用的估值方法制作风格指数,并以IC值作为风格权重,强化分类效果。为了更好地跟踪全市场股票型基金的情况,笔者对全市场2800多只股票型开放式基金进行分析和跟踪。市场上大部分基金划分体系都是在证监会一级分类的基础上进行的二级分类。分类标准按照基金的招募说明书划分,但随着基金投资标的的改变,会发生一定的风格漂移和风格转化,而通过对全市场基金的跟踪,可以更好地还原市场的真实情况,站在全市场的角度去理解基金风格的变化。
以体系的风格指数作为跟踪标的,搭建风格基金指数,按照基金的大、中、小盘规模以及成长、价值、平衡风格进行分类。同类别的基金按照基金规模加权编制成日频风格指数。基金在运行中由于投资范围和标的权重发生变动,事后影响基金风格,故每年5月和9月对风格基金篮子进行调整。
笔者一共采用3种搭建模式,分别按照基金分类、股票分类以及与IC相关性变化进行。基金和股票分类方式是利用估值指标进行分组,和风格指数的构建方式更加贴近。其中,基金的风格属性来自基金中期和年度报告中所持股票的风格,股票的估值指标包括PE、PB、PS、PCF、PEG等五个常用指标,按照等权的方式平均将以上基金划分为n组,计算出每一组的净值表现,并按照成长、平衡、价值的属性分档。
按照评判标的进行测算,得到成长基金/价值基金的指标,再进行基础数据处理,如去极值和标准化等,之后通过IC测算和ADF检验去除低相关性和显著性偏低的因子数据,按因子风格初步筛选。
筛选方式分为以下几种:一是利用现有的宏观因子筛选框架进行筛选;二是SI法,基于APT的最小化截距筛选;三是单因子测试,根据R2选取较优项;四是基于Fama-Macbeth回归的两步筛选。
R2用来评估模型误差值,是回归方程中平方和与总离差平方和之比值,反映自变量随因变量变动的程度。R2通常处于0—1之间,这个指标越大,线性拟合的效果就越佳,拟合精度就越高。
Fama-Macbeth回归两步筛选法可以分别在截面和时序上对因子暴露值进行回归分析,通过时序回归得到收益率的系数beta。
注:weight 随return变化
在截面回归时,将每个时间点t当作独立样本进行独立回归,并将截面回归参数均值作为估计值。而对于残差项中存在的自回归性,可以通过Newey West线性模型,对残差由于异方差和自相关性导致的协方差进行调整,避免回归过程中标准误差的影响。
编制方法的拓展
除了利用传统的分类方式进行指数跟踪,笔者同时采用IC(Information Coefficient)分析法,以风格基金指数作为标的,以IC值作为基金中成长风格和价值风格的评分标准。IC值是因子暴露与股票下期收益的截面相关系数,该指标常用于判断多因子的预测能力。
IC分析方式分为两种,包括Normal IC和Rank IC。本文采用的是第一种测算方式,也称之为皮尔逊积矩阵相关系数,用来衡量所选基金和价值和成长基金风格指数之间的关系。同时,基金风格的划分取决于该基金与价值和成长基金的关系。当价值IC大于成长IC时,该基金被判断为价值基金。反之亦然。
与此同时,为了解决基金风格偏移的问题,笔者将IC成长和价值的对应关系映射到二维坐标轴(X, Y),以原点(0,0)为中点画出角度为45度的直线,距离直线越远,对应风格特征越显著。将坐标到直线的距离作为风格权重,与该基金的规模比重和收益率结合,最终合成风格指数。同时,由于每次基金篮子的调整预示着基金风格发生变动,IC值的大小也会在5月、9月出现变化,从而更加接近基金的真实风格。
图为IC成长和价值的对应关系
跟踪误差与评价
为了分析跟踪指数收益率和风格指数收益率的偏离度,笔者采用跟踪误差来对不同方式下制作的指数进行分析。
其中,TE(tracking error)为跟踪误差,TD(tracking difference)为跟踪偏离度。
总体而言,按照基金估值分类的指数,跟踪误差是最小的,大约为0.004。风格方面,成长板块IC值作为权重的指数,收益率较基准明显放大,但同时指数的波动也有所放大,增大了风险。使用基金估值分类的构建方式,综合来看更加贴近系构建指数。价值方面,IC权重指数净值最高,但在进入测试集后走势偏差逐步放大。因此,使用基金估值分类作为跟踪标的,需要进一步分析。另外,成长风格指数与IM合约的相关性保持在0.7,价值风格指数与IH合约的相关性保持在0.6,均呈较强的相关性。
表为指数跟踪误差情况
虽然市场有不少论据和模型来判断未来较长趋势下的风格变化,但2016年以来,风格切换愈发频繁,区间胜率和赔率逐渐成为焦点。如果维持对某一风格的长期判断,那么不仅可能错过其他板块的强势期,而且可能在熊市导致更大的亏损。市场风格的变化对资产组合的影响并不局限于短期。(作者单位:国投安信期货)
温馨提示:投资有风险,选择需谨慎。
听说“相关性低”的基金组合更安全,新手应该怎么看基金之间的相关性?
-
2026年券商APP怎么选?九大专业软件测评给你答案~
2026-04-13 14:59
-
持仓乱、收益差?国金这个AI工具,帮你一键诊断+科学调仓,告别盲目投资
2026-04-13 14:59
-
选股看估值,究竟是看PE、PB还是PEG?
2026-04-13 14:59



+微信
分享该文章
