头悬达摩克利斯之剑-------创新药还有投资价值吗
发布时间:2021-8-4 10:19阅读:269
医保局又要开始医保谈判了,信立泰的阿里沙坦酯在名单里,以前预期以后不谈了直接续约,虽然医保谈判和主动以价换量都是降价,但是被动降价犹如头悬达摩克里斯之剑---不知道什么时候剑会砍下来、会砍多深!
有医保局这个超级大买家在,以后也有可能年年谈,年年降价!万一谈判走火了把在专利期内的前期进医保的创新药整出局也不是没可能!
创新药就一直有不确定的降价预期和不确定的未来!
这么看大多数创新药根本没有定价权!
创新药还是好生意吗
从生意模式上来讲,别说信立泰,就算上香港的18A康宁杰瑞、亚盛医药和盈利的信达生物,再加上美股中概医药什么传奇生物等,相比贵州茅台等高端白酒和片仔癀,不是说信立泰是垃圾,而是在坐各位有一个算一个都是垃圾!

创新药就不是最好的生意!
好生意就一定是好投资吗
不一定!
创新药就一定不是好投资吗
也不一定!
股票投资和做生意不是一回事!
股票投资实际上是参加赌局,是下注!不是经营公司产品!
既然炒股是赌局,其实最重要的是赔率和概率!
茅台酒虽好,但是股价也高,概率够赔率不行!
广誉远,赔率很好概率不行!
康宁杰瑞,赔率很好概率也行!
信立泰,赔率不错概率也不错!
创新药头上的达摩克利斯之剑肯定和教育行业学科培训头上的完全不一样!
医保局的存在,让创新药一直有降价预期!但是无论从鼓励创新还是从医保谈判目的来看,都不会让药企降价太离谱!
杀价太多,创新药企会失去创新积极性,长远看也没法用国内药企去平衡强大外资,外资独大,更不利于医保谈判降价!
ME TOO的是不太利,但是国内药企就现在这个实力,还是要扶持!
国内药企很多也有better 甚至best创新药
像信立泰的JK07 康宁杰瑞的双抗 传奇生物的细胞疗法都在中美双报!都是全球权益都是大靶点!出海成功的概率非常大!这些定价权就高!
因为竞争的存在,创新药要放量,确实也要持续降价!
医保谈判过分杀价是小概率事件!
温和降价对药企、患者和医保局是三赢的事!
2025年为限,我估算的赌局概率和赔率,为了便于计算我把事件发生状态只分为两种,为了保守和公平所有赌局都有一种腰斩。
1:信立泰涨到1000亿市值(现在300亿)的概率70%,跌倒150亿的概率30%,赔率=(1000-300)/(300-150)=4.66
2:贵州茅台翻倍股价3250元的概率80%,腰斩概率20%,赔率2
3:片仔癀翻倍的概率80%,腰斩概率20%,赔率2
4:人福医药1500亿(现370亿)概率60%,腰斩概率40%,赔率6.1
5:广誉远1000亿(现近200亿)概率30%,腰斩概率70%,赔率9.5
6:康宁杰瑞涨到5倍1000亿概率50%,腰斩概率50%,赔率8
7:中国平安翻倍概率70%,腰斩概率30%,赔率2
8:贾布斯 法拉第未来10倍概率20%,腰斩概率80%,赔率18
9:舍得酒业3倍概率60%,腰斩概率40%,赔率4
10:传奇生物3倍概率70%,腰斩概率30%,赔率4
11:鱼跃医疗3倍概率60%,腰斩概率40%,赔率4
12:奈雪的茶5倍概率50%,腰斩概率50%,赔率8
数学期望:初始资金设为1
信立泰数学期望=1*7/3*0.7-0.5*0.3=1.48
贵州茅台数学期望=0.7 片仔癀=0.7
人福医药数学期望=1.74
广誉远=0.85 康宁杰瑞=1.5
中国平安=0.55 法拉第未来=1.4
舍得酒业=1 传奇生物=1.25
鱼跃医疗=1 奈雪的茶=1.75
收益比为奈雪的茶>人福医药>康宁杰瑞>信立泰>法拉第未来>传奇生物>鱼跃医疗、舍得酒业>广誉远>贵州茅台、片仔癀>中国平安
从预期收益来看:康宁杰瑞、信立泰、传奇生物这些创新药虽然不是顶级生意,但长期5年看仍然是非常好的投资标的!
然而最好不要满仓满融单一支股票,因为获胜概率毕竟不是100%。
譬如信立泰如果后面重要专利药出不了怎么办?YIBAOJU把价格杀的太厉害怎么办?这就是创新药的软肋,研发风险很大,研发出来降价不一定很大很频繁但一直都有降价预期!茅台和片仔癀为什么是顶级生意?不研发供不应求,受政策影响小,虽然不常提价但提价预期一直存在!
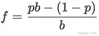
其实凯利公式告诉了我们在概率和赔率确定的情况下最多下注多少仓位

f是仓位,p是获胜概率,b是赔率
信立泰f=63%,康宁杰瑞f=43% 贵州茅台f=70%
法拉第未来f=15% 人福医药f=53% 广誉远f=22%
中国平安f=55%
信立泰如果获胜概率将为50%,者最大仓位f=39%
信立泰在我估计那么乐观的情况下,仓位最大是63%
茅台和片仔癀的预期收益虽然不高,但是仓位最大70%
综上可以得出,即便头悬达摩克利斯之剑,在控制好仓位的情况下,以5年为限,虽然创新药不是顶级生意,但很多创新药是好投资!
洋洋洒洒写了这么多,好像很懂投资的样子!
这些逻辑能兑现吗 不会是纸上谈兵吧
毛主席说过革命不是请客吃饭,不是做文章,不是绘画绣花,不能那样雅致,那样从容不迫,文质彬彬,那样温良恭让。
投资也是这样!
短期赚不到钱好像可以理解,如果到2025年投资没有大收益
那么我这些就是金钩桂饵!
小结:虽然短期创新药公司股价波动剧烈很难赚钱,可如果以5年为限,从赔率和概率上计算投资期望,很多创新药公司比如信立泰、港股18A或者美股创新药更有投资价值,数学期望完胜贵州茅台和片仔癀!但因新药研发成功率问题和头悬达摩克利斯之剑原因,还有创新药容易被新科技所颠覆,需控制好仓位。拉长时间10年、20年、30年看,大多数创新药公司投资收益因为生意模式的原因比不过茅台、片仔癀,甚至比不过广誉远,因为创新药公司禁不起太大失败,像泽生科技研究的都是世界上最牛逼的药,20多年了一个药也没成,若纽卡定失败,泽生有可能归零。创新药也容易被颠覆,需要不断进化!但哪怕比如广誉远这种现在做的很差的中药公司因为拥有国家保密配方和非遗,基于这种垄断的属性,即便一次次搞不起来也不会消亡,而只要成功一次就很大可能继续成功下去!
备注:关于上述公司概率、赔率的估算逻辑,因为篇幅原因,以后单独阐述,以上很多公司本人打算持仓5年以上,过程非常磨人,犹如一本难念的经,风险较大请不要据此操作!
低佣股票开户入群V:442557803
低佣股票开户入群V:442557803
低佣股票开户入群V:442557803
温馨提示:投资有风险,选择需谨慎。
-
@所有人,2026年春节股市休市安排发布,请查收!
2026-02-12 11:30
-
2026春节理财:手把手教你操作国债逆回购+场内货基,躺赚22天利息!
2026-02-12 11:30
-
2026年春节期间,基金会有收益吗?怎么获取?
2026-02-12 11:30


问一问
+微信
分享该文章
