大家都在说的纯电动车的“续航焦虑”到底是什么?
发布时间:2021-6-15 11:36阅读:226
写在前面的话:
昨天,很多人说磷酸铁锂是“低端车”的代表。甚至有文章说是因为(低端的)五菱宏光MINI EV的热销,导致磷酸铁锂电池的装机量大增。
关于这个观点,在5月新能源汽车销售榜单(乘联会数据版)发布后,会针对A00级别车型的数据,进一步分析一下电池的装机量数据。
这里就先说两个简单的数据问题:第一个问题。5月磷酸铁锂对于三元锂的超越,是产量上绝对数字的超越(铁锂 8.8 GWh VS 三元锂 5 GWh ),不存“因为基数低所以超越”的问题。注意这里统计的是产量。第二个问题,用A00级车级别销量的数据来计算,其实是没有深入看到数据背后的原因。A00级别的车型,续航普遍不长,单机电池容量大约在10KWh左右,简单算一下即便月销5万台(5月统计该级别国内合计销量在4.99万台),单机电池容量按15KWh计算,也就是75万KWh,大约0.75GWh。这个数量和5月磷酸铁锂装机量4.5GWh相比,占比大约16%。用一个仅仅占比16%份额的数据,来否定磷酸铁锂的回归?建议这位朋友,可以多认真研究一下,数据口径以及数据背后的结构问题。
最后,想要说一下今天小话题的缘由,昨天很多人在争论磷酸铁锂和三元锂谁更好。于是就牵扯出纯电动车续航焦虑的问题,球友 @傻傻的看你装逼 发言说:“堆长续航电动车就是一种错误。600公里网上再堆电池边际效用是递减的。快充才是解决里程焦虑的核心。被媒体洗脑了才觉得电动车续航里程越长越好。人家焦虑的一直都不是满电续航里程不够长。而是没电的时候补能速度太慢,现有的充电桩太少。燃油车普遍加一次油也就500-600公里左右。为什么燃油车就没有焦虑?就算你到了1500公里的续航。跑到只有200公里续航的时候你就开始焦虑了。你不知道你能不能找得到充电桩。或者你现在没有时间去充电。大家全都糊涂了,媒体瞎带节奏,根本没有所谓的里程焦虑这回事,一直都是补能速度焦虑。”
今天就分享一个“中国私家车行驶里程的相关研究”,带大家了解一下到底“续航焦虑”是什么样的。
注:以下数据与图标来自中汽中心。
话不多说,看正文吧。
研究说明:本次机动车年度行驶里程的研究方面,是基于2003-2018年中国82个城市的近17万份样本进行分析,分车型和地理区域分析私人乘用车的行驶里程规律,形成出行强度分布的伽马曲线,即在各行驶里程区间内分别有多少比例的车辆,以出行强度分布曲线为基础进行年行驶里程的估算。
一、年均行驶里程的研究:95%的中国私家车平均年行驶里程为1.2万公里(相当于1000公里/月)
经过对上述17万份的样本研究,样本分车龄结构组成与保有量分车龄结构接近,因此样本数据可以很好的反映实际路上行驶车辆的真实情况。研究样本中,年行驶里程95%集中在0.5万公里-2.9万公里区间,平均年行驶里程为1.2万公里(平均1000公里/月)。另外,车龄对年行驶里程也有显著影响,随着车辆使用年限的增加,年行驶里程呈下降趋势,且下降速度逐渐趋缓。

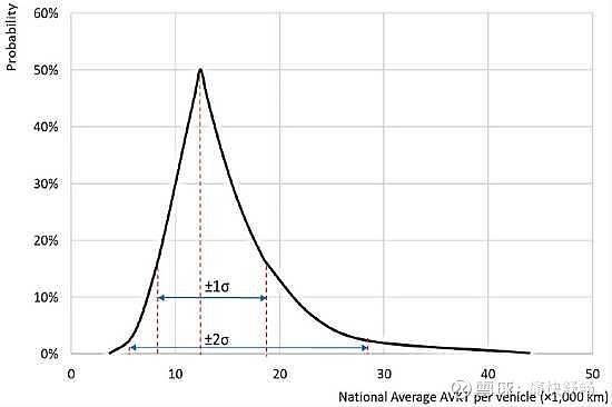
二、日均行驶里程的研究:90%的中国私家车平均日行驶里程为70公里以下
从日行驶里程规律来看,中国居民日均往返通勤里程服从下图的伽马分布,大多集中在21km-28km(这张图需要上下结合来看,上图的峰值对应下图的里程就是常规使用),如果从90%的场景覆盖角度来看,日均行驶里程在70公里以下;95%的场景覆盖,日均行驶里程在80公里左右。

从这个角度来看,如果能够解决家用充电桩的安装比例问题,那么实际续航里程为150公里的电动汽车将满足中国大多数居民的城市日常需求,如果充电桩的安装比例不能提升,按照一周一充的场景假设,30公里的日均行程,210-250公里实际续航的电动车将满足中国50%居民的日常需求;如果按照70公里的日均行程,一周一充的假设,500公里实际续航的电动车将满足中国90%居民的日常需求。
三、从满足实际功能需求角度上的续航里程标准推定
于是,可以按照实际续航为NEDC续航的8折来计算,能够得到几个不同配置标准的续航水平。(那个消费者的钱也不是大风刮来的,那个厂商的产品与成本都需要想匹配)
1、 起步续航标准:A00级别车型NEDC续航200公里(150公里是下限);
NEDC续航在200公里的车型,实际续航150-160公里(冬季在120公里左右),就基本能够满足城市日常出行的需求。这也就是为什么5万左右的A00级纯电动车热销的一个重要原因吧。另一个重要原因是对于广大的5/6/7/8线城市里,城市不大、通勤距离有限、充电条件相对较好,再加上人均可支配收入相对有限,就构成了如今A00级车型热销的最核心的原因。
2、常规续航标准:A级车NEDC续航500公里(400公里是下限)
同样的标准推算,NEDC续航在500公里(实际续航400公里左右),能够满足80%的日常通勤的需求(春秋两季一周一充;冬夏两季二周三充)。参考个人实际经验,坐标北方,300公里NEDC续航车了,单纯上下班城市通勤(偶尔单程80公里出城),100%全部公共充电,在北方春秋一周一充或者冬夏二周三充的充电频率是完全可以接受的。
3、 高配续航标准:B级车NEDC续航700公里(600公里是下限)
同样的标准推算,NEDC续航在700公里(实际续航450-500公里左右),能够满足95%的日常使用需求(春秋两季三周二充;冬夏两季一周一充)。参考个人600公里NEDC续航车辆,坐标北方,上下班城市通勤、单程150公里出城(偶尔单程350公里的跨省出行),城市通勤使用私桩,单程超过300公里的出行使用公共充电桩,在北方春秋三周二充或者冬夏二周三充的充电频率是也完全可以接受的。
从数据上基本上能够对应球友的判断:“过度堆长续航电动车就是一种错误,NEDC 600公里往上再堆电池边际效用是递减的(到了NEDC700公里已经能够满足95%的出行场景了)。快充才是解决里程焦虑的核心。而所谓的“里程焦虑”,更多是不分群体带的节奏,其本质都是:一直都是补能速度焦虑。”
补能速度的焦虑目前的主流解决方案有:换电、800V高压以及加大充电桩布局。从个人使用角度而言,充电桩布局和800V高压,将会是接下来各家企业的重点与方向。换电模式还是更加适合于TOB或者TO出行的市场。
据说(据说又来了)E平台3.0产品,会发布800V高压闪充技术。大家不要猜来猜去了,毕竟我也要老老实实蹲发布会
温馨提示:投资有风险,选择需谨慎。
-
中信证券现在可以买黄金吗?有人知道吗?
2025-11-03 09:31
-
北交所怎么开户?如何开通北交所交易权限?
2025-11-03 09:31
-
一文搞懂一条产业链——【通信设备及服务】
2025-11-03 09:31


当前我在线

分享该文章
